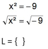
Zurück g3a.jpg