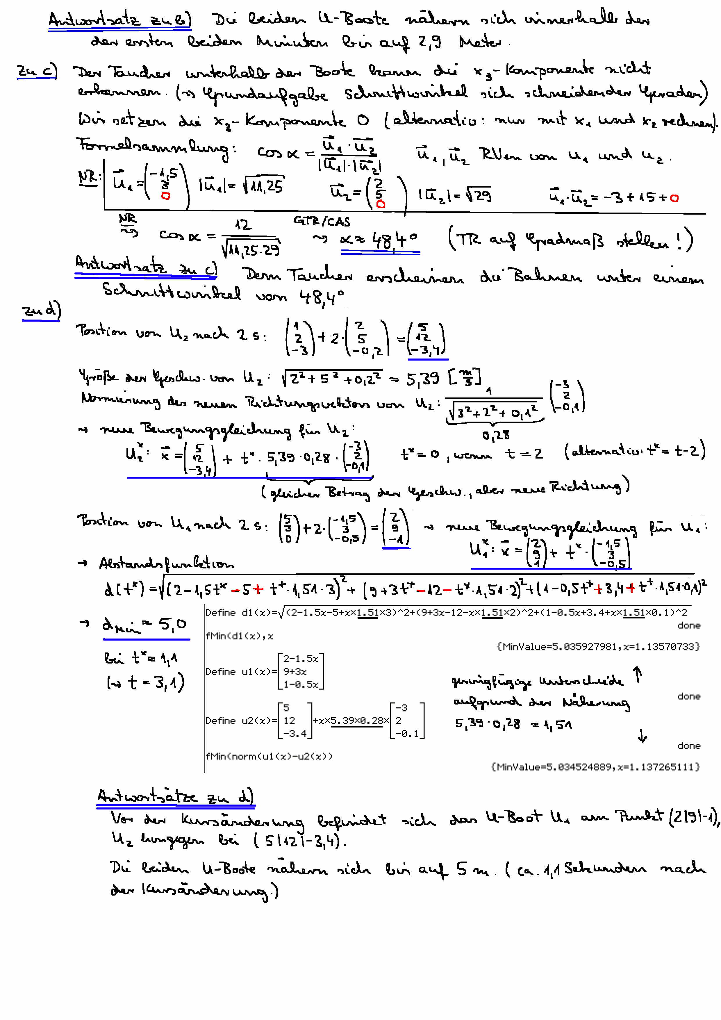
Zurück uboot2_lsg_teil2.gif