Modellieren von Bewegungsaufgaben
Eine gleichförmige, geradlinige Bewegung kann sehr elegant durch eine Geradengleichung in Parameterform dargestellt werden. Hierbei ist es geschickt, wenn man den Stützvektor als Startpunkt der Bewegung und den Richtungsvektor als Geschwindigkeit auffassen kann. So erhält bei der Geradengleichung der Parameter die Bedeutung der Zeit. Da die Gerade eine Bewegung beschreibt, wird die zugehörige Gleichung oft als Bewegungsgleichung bezeichnet.

Das hier vorgestellte Lernvideo verdeutlicht die oben beschriebenen Besonderheiten bei Bewegungsgleichungen in der analytischen Geometrie.
Youtube-Lernvideo: "Besonderheiten bei Bewegungsgleichungen"
Die folgende Anwendungsaufgabe führt durch kleinschrittige Fragestellungen die Möglichkeiten der analytischen Geometrie vor. Die Lösungen können vom Lehrer abgetrennt werden, oder beim selbstständigen Arbeiten vom Schüler nach hinten geknickt und im Bedarfsfalle eingesehen werden.
Arbeitsblatt-Download
Dokument als OpenOffice-Datei Download
Dokument als PDF Download
Die nachfolgende Bewegungsaufgabe verdeutlicht u. a. den Unterschied zwischen Abstand der Bahnen und dem Abstand der Positionen. Weiter werden verschiedene Winkelberechnungen verlangt.
Die Aufgabenstellungen lassen sich mit Grundtechniken der analytischen Geometrie lösen. Hierbei lässt sich die Mathematisierung des speziellen Sachverhaltes sehr schön demonstrieren.
Arbeitsblatt-Download
Dokument als OpenOffice-Datei Download
Dokument als PDF Download
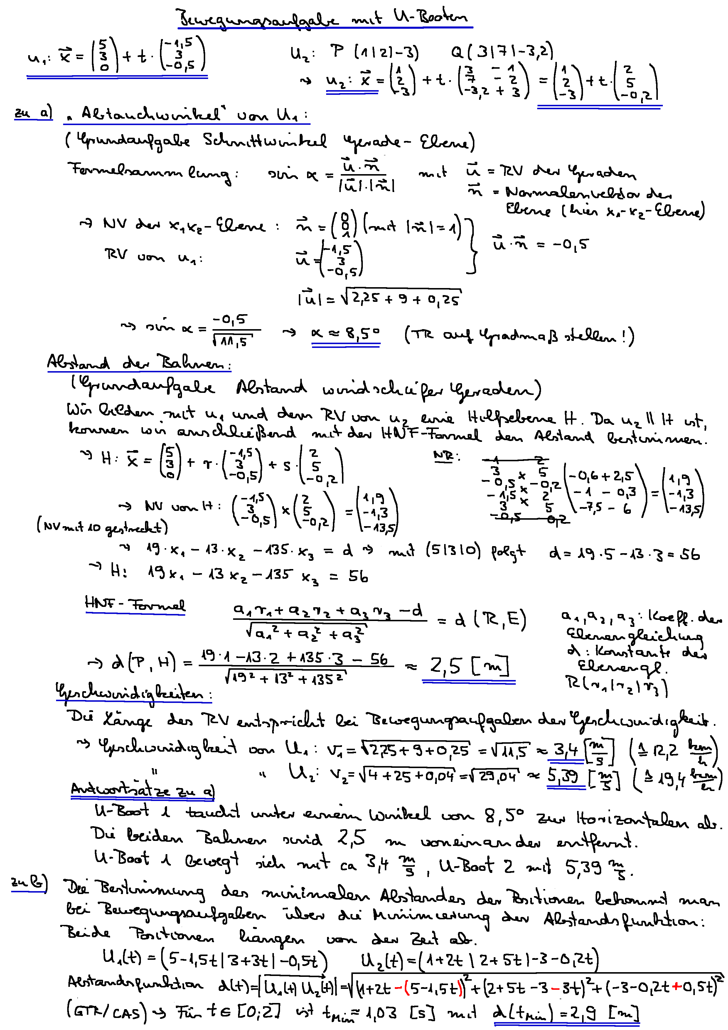
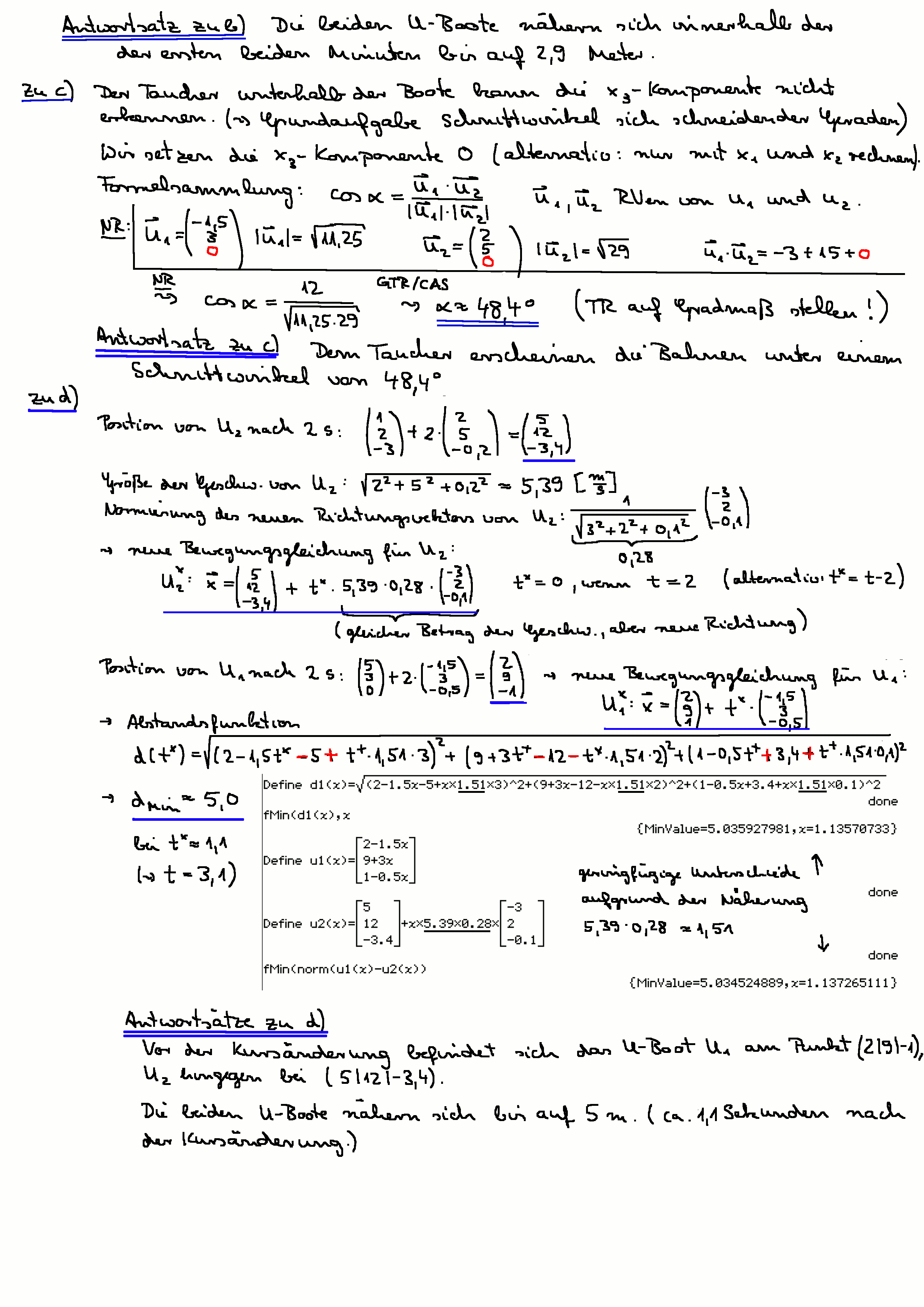
Lösungsvorschlag Teil 1
Lösungsvorschlag Teil 2
Alle Bewegungen die sich mit Geraden im Raum beschreiben lassen, liefern Anwendungsbeispiele zum Thema "windschiefe Geraden". Das hier vorgestellte Aufgabenblatt beschreibt hierzu mögliche Fragestellungen.
Arbeitsblatt-Download
Dokument als OpenOffice-Datei Download
Dokument als PDF Download
Lösungsvorschläge zum obigen Arbeitsblatt
Die Lösungsvorschläge beschreiben einen Heftaufschrieb bei der Verwendung eines Computer-Algebra-Systems (CAS). Sie beinhalten Hinweise und Screenshots zum Casio ClassPad. (Gerne dürfen Sie Alternativlösungen für andere Rechnertypen zur Veröffentlichung an die Redaktion Mathematik senden).
Lösungvorschlag Aufgabenblatt Teil a) - e)
Lösungvorschlag Aufgabenblatt Teil f) + Hinweise
Lückentext mit einer Zusammenfassung zu Bewegungsaufgaben
Der hier vorgestellte Lückentext dient als Überblick der Grundkompetenzen zu Bewegungsaufgaben.
Arbeitsblatt-Download
Dokument als OpenOffice-Datei Download
Dokument als PDF Download
Lösungsvorschlag zum Lückentext
Vergrößerung/Verkleinerung mit Tastenkombination "Strg +" bzw. "Strg -"



