• Die Bildungsserver in BW
  • Bildungspläne
  • Kultusministerium
Landesbildungsserver Baden-Württemberg
ZSL-Logo
  • Fächer & Schularten
    • Mathematisch-naturwissenschaftliche Fächer
      • Mathematik
      • Biologie
      • Physik
      • Chemie
      • Informatik
      • Naturwissenschaft und Technik (NwT)
      • Biologie, Naturphänomene und Technik (BNT)
      • Materie-Natur-Technik (MNT)
    • Gesellschaftswissenschaftliche und philosophische Fächer
      • Ethik
      • Religionslehren
      • Geographie
      • Geschichte
      • Landeskunde, Landesgeschichte
      • Gemeinschaftskunde
      • Wirtschaft-Arbeit-Gesundheit (WAG)
      • Welt-Zeit-Gesellschaft (WZG)
      • Wirtschaft / Berufs- und Studienorientierung (WBS)
    • Sprachen und Literatur
      • Deutsch
      • Englisch
      • Französisch
      • Italienisch
      • Spanisch
      • Latein
      • Griechisch
      • Vertiefungskurs Sprache
    • Berufliche Fächer und Lernfelder
      • Bioinformatik
      • Biotechnologie
      • Ernährungslehre
      • Ernährungsportal (Hauswirtschaft)
      • Gartenbau
      • Holztechnik
      • Wirtschaft
    • Musische Fächer
      • Musik
      • Literatur und Theater
      • Kunst
    • Praktische Fächer
      • Technik
    • Berufliche Schularten
      • Berufliches Gymnasium Oberstufe
      • Berufsoberschule
      • Berufskolleg
      • Berufsfachschule
      • Berufsschule
      • Fachschulen
      • Berufsvorbereitende Schularten
      • Schulartübergreifend
      • Übergänge gestalten
    • Schularten
      • Grundschule
      • Realschule
      • Werkrealschule-Hauptschule
      • Gymnasium
      • Gemeinschaftsschule
      • Sonderpädagogische Bildung
    • Sport
      • Sport
  • Themen & Impulse
    • Extremismusprävention und Demokratiebildung
      • Extremismusprävention
      • Demokratiebildung
    • Ideenpool Lesen
      • Aktuelles
      • Elementarbereich
      • Grundschule
      • Sekundarstufe
      • Suchmaschine für Bücher
      • Lesen digital
      • Buchtipps und Links
      • Handreichungen
      • Kontakt
      • Kooperation Literaturhaus Stuttgart
    • Individuelle Förderung
      • Allgemein bildende Schulen
      • Berufliche Schulen
      • Interaktives Material
    • Integration - Bildung - Migration
      • VKL/VABO
      • Ziel: Bildungssprache
      • Interkulturelle Öffnung
      • Fakten, Kontakte und Angebote
    • Katastrophenschutz
    • Leitperspektiven und Leitfaden Demokratiebildung
      • Bildung für nachhaltige Entwicklung (BNE)
      • Bildung für Toleranz und Akzeptanz von Vielfalt (BTV)
      • Prävention und Gesundheitsförderung (PG)
      • Berufliche Orientierung (BO)
      • Medienbildung (MB)
      • Verbraucherbildung (VB)
      • OER Grafiken zur Demokratiebildung
    • Materialien für den Online-Unterricht
    • Medienbildung
      • Interaktive Übungen
      • Handreichungen
      • Lernmaterial
      • Internetadressen
    • OES
      • Konzept OES
      • OES - Unterstützungssystem
      • Datengestützte Schulentwicklung
      • Ziel- und Leistungsvereinbarung
      • innolabBS
    • Übergreifende Förderangebote
      • Autismus
      • Bildung und Erziehung von Kindern und Jugendlichen mit geistiger Behinderung und psychischer Erkrankung
      • Handreichungen
      • Inklusive Bildungsangebote
      • SBBZ – Schülerinnen und Schüler in längerer Krankenhausbehandlung
      • Kompetenzinventar
    • Schul- und Unterrichtsqualität
  • Service & Tools
    • Aktuelles
      • Bildungsnews
      • Neu auf dem Server
      • Stellenausschreibungen
      • Wettbewerbe
    • Listen der zugelassenen Schulbücher
    • Webtools: unsere kostenlosen Dienste für Bildung
      • BSCW
      • E-Mail- und Newsletterdienste
      • LimeSurvey™
      • Bildungsserver-Pad
      • IdAM
      • Formulare
    • Bildungspläne
      • Allgemein bildende Schulen
      • Berufliche Schulen
      • SBBZ
  • Über uns
    • Bildungsserver in Baden-Württemberg
    • Datenschutzerklärung
    • Impressum
    • Kontakt mit der Redaktion
    • Kontakt mit der Systembetreuung
    • Qualitätskriterien
    • Urheberrechtsinformationen
      • OER
      • Urheberrechtliche Hinweise
      • Alle Rechte vorbehalten
  • Fächer & Schularten
    • Mathematisch-naturwissenschaftliche Fächer
      • Mathematik
      • Biologie
      • Physik
      • Chemie
      • Informatik
      • Naturwissenschaft und Technik (NwT)
      • Biologie, Naturphänomene und Technik (BNT)
      • Materie-Natur-Technik (MNT)
    • Gesellschaftswissenschaftliche und philosophische Fächer
      • Ethik
      • Religionslehren
      • Geographie
      • Geschichte
      • Landeskunde, Landesgeschichte
      • Gemeinschaftskunde
      • Wirtschaft-Arbeit-Gesundheit (WAG)
      • Welt-Zeit-Gesellschaft (WZG)
      • Wirtschaft / Berufs- und Studienorientierung (WBS)
    • Sprachen und Literatur
      • Deutsch
      • Englisch
      • Französisch
      • Italienisch
      • Spanisch
      • Latein
      • Griechisch
      • Vertiefungskurs Sprache
    • Berufliche Fächer und Lernfelder
      • Bioinformatik
      • Biotechnologie
      • Ernährungslehre
      • Ernährungsportal (Hauswirtschaft)
      • Gartenbau
      • Holztechnik
      • Wirtschaft
    • Musische Fächer
      • Musik
      • Literatur und Theater
      • Kunst
    • Praktische Fächer
      • Technik
    • Berufliche Schularten
      • Berufliches Gymnasium Oberstufe
      • Berufsoberschule
      • Berufskolleg
      • Berufsfachschule
      • Berufsschule
      • Fachschulen
      • Berufsvorbereitende Schularten
      • Schulartübergreifend
      • Übergänge gestalten
    • Schularten
      • Grundschule
      • Realschule
      • Werkrealschule-Hauptschule
      • Gymnasium
      • Gemeinschaftsschule
      • Sonderpädagogische Bildung
    • Sport
      • Sport
  • Themen & Impulse
    • Extremismusprävention und Demokratiebildung
      • Extremismusprävention
      • Demokratiebildung
    • Ideenpool Lesen
      • Aktuelles
      • Elementarbereich
      • Grundschule
      • Sekundarstufe
      • Suchmaschine für Bücher
      • Lesen digital
      • Buchtipps und Links
      • Handreichungen
      • Kontakt
      • Kooperation Literaturhaus Stuttgart
    • Individuelle Förderung
      • Allgemein bildende Schulen
      • Berufliche Schulen
      • Interaktives Material
    • Integration - Bildung - Migration
      • VKL/VABO
      • Ziel: Bildungssprache
      • Interkulturelle Öffnung
      • Fakten, Kontakte und Angebote
    • Katastrophenschutz
    • Leitperspektiven und Leitfaden Demokratiebildung
      • Bildung für nachhaltige Entwicklung (BNE)
      • Bildung für Toleranz und Akzeptanz von Vielfalt (BTV)
      • Prävention und Gesundheitsförderung (PG)
      • Berufliche Orientierung (BO)
      • Medienbildung (MB)
      • Verbraucherbildung (VB)
      • OER Grafiken zur Demokratiebildung
    • Materialien für den Online-Unterricht
    • Medienbildung
      • Interaktive Übungen
      • Handreichungen
      • Lernmaterial
      • Internetadressen
    • OES
      • Konzept OES
      • OES - Unterstützungssystem
      • Datengestützte Schulentwicklung
      • Ziel- und Leistungsvereinbarung
      • innolabBS
    • Übergreifende Förderangebote
      • Autismus
      • Bildung und Erziehung von Kindern und Jugendlichen mit geistiger Behinderung und psychischer Erkrankung
      • Handreichungen
      • Inklusive Bildungsangebote
      • SBBZ – Schülerinnen und Schüler in längerer Krankenhausbehandlung
      • Kompetenzinventar
    • Schul- und Unterrichtsqualität
  • Service & Tools
    • Aktuelles
      • Bildungsnews
      • Neu auf dem Server
      • Stellenausschreibungen
      • Wettbewerbe
    • Listen der zugelassenen Schulbücher
    • Webtools: unsere kostenlosen Dienste für Bildung
      • BSCW
      • E-Mail- und Newsletterdienste
      • LimeSurvey™
      • Bildungsserver-Pad
      • IdAM
      • Formulare
    • Bildungspläne
      • Allgemein bildende Schulen
      • Berufliche Schulen
      • SBBZ
  • Über uns
    • Bildungsserver in Baden-Württemberg
    • Datenschutzerklärung
    • Impressum
    • Kontakt mit der Redaktion
    • Kontakt mit der Systembetreuung
    • Qualitätskriterien
    • Urheberrechtsinformationen
      • OER
      • Urheberrechtliche Hinweise
      • Alle Rechte vorbehalten
You are here:
  1. Home
  2. Fächer & Schularten
  3. Mathematisch-naturwissenschaftliche Fächer
  4. Mathematik
  5. Unterrichtsmaterialien
  6. Sekundarstufe I
  7. Geometrie
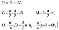
  8. Pyramiden
  9. opy3formel.JPG
Neu
01.03.2026 Problem des Monats der vergangenen Schuljahre (seit 18 /19) als pdf und mit Lösungen
01.03.2026 Die Lösung zum Problem des Monats Februar 2026
01.03.2026 Problem des Monats März 2026

Mathematik

  • Interaktiv und Digital
  • Unterrichtsmaterialien
  • Neue Ideen
  • Bildungspläne, Prüfungen und Wettbewerbe
Navigation
  • Mathematisch-naturwissenschaftliche Fächer
    • Mathematik
      • Interaktiv und Digital
      • Unterrichtsmaterialien
        • Sekundarstufe I
          • Leitidee "Funktionaler Zusammenhang"
          • Leitidee "Zahl-Variable-Operation"
          • Geometrie
            • Satzgruppe des Pythagoras
            • Thalessatz
            • Trigonometrie
            • Besondere Punkte beim Dreieck
            • Geometrische Beweise
            • Dreiecksformen
            • Dynamische Geometrie
            • Flächenberechnung
            • Kongruenz
            • Links
            • Ganz schön vermessen
            • Platonische Körper
            • Prismen
            • Pyramiden
              • Pyramidenlinks
              • opy3formel.JPG
            • Strahlensätze
            • Umfangswinkelsatz
            • Winkel
            • Geometrische Grundkonstruktionen
          • Leitidee "Messen"
          • Leitidee "Daten und Zufall"
          • Leitidee "Raum und Form"
          • sonstiges
        • Sekundarstufe II
        • Übergänge gestalten
      • Neue Ideen
      • Bildungspläne, Prüfungen und Wettbewerbe
    • Biologie
    • Physik
    • Chemie
    • Informatik
    • Naturwissenschaft und Technik (NwT)
    • Biologie, Naturphänomene und Technik (BNT)
    • Materie-Natur-Technik (MNT)
  • Gesellschaftswissenschaftliche und philosophische Fächer
  • Sprachen und Literatur
  • Berufliche Fächer und Lernfelder
  • Musische Fächer
  • Praktische Fächer
  • Berufliche Schularten
  • Schularten
  • Sport

opy3formel.JPG

Bild opy3formel.JPG
opy3formel.JPG
Zeige Bild in voller Größe…
Pyramiden
Inhalte

Einstiegsseite

Bezeichnungen an Pyramiden

Dreiecke in Pyramiden

Oberflächenberechnungen an Pyramiden

Pyramidenlinks

Impressum   Kontakt   Datenschutzerklärung   Barrierefreiheit   Urheberrechtsinformationen