• Die Bildungsserver in BW
  • Bildungspläne
  • Kultusministerium
Landesbildungsserver Baden-Württemberg
ZSL-Logo
  • Fächer & Schularten
    • Mathematisch-naturwissenschaftliche Fächer
      • Mathematik
      • Biologie
      • Physik
      • Chemie
      • Informatik
      • Naturwissenschaft und Technik (NwT)
      • Biologie, Naturphänomene und Technik (BNT)
      • Materie-Natur-Technik (MNT)
    • Gesellschaftswissenschaftliche und philosophische Fächer
      • Ethik
      • Religionslehren
      • Geographie
      • Geschichte
      • Landeskunde, Landesgeschichte
      • Gemeinschaftskunde
      • Wirtschaft-Arbeit-Gesundheit (WAG)
      • Welt-Zeit-Gesellschaft (WZG)
      • Wirtschaft / Berufs- und Studienorientierung (WBS)
    • Sprachen und Literatur
      • Deutsch
      • Englisch
      • Französisch
      • Italienisch
      • Spanisch
      • Latein
      • Griechisch
      • Vertiefungskurs Sprache
    • Berufliche Fächer und Lernfelder
      • Bioinformatik
      • Biotechnologie
      • Ernährungslehre
      • Ernährungsportal (Hauswirtschaft)
      • Gartenbau
      • Holztechnik
      • Wirtschaft
    • Musische Fächer
      • Musik
      • Literatur und Theater
      • Kunst
    • Praktische Fächer
      • Technik
    • Berufliche Schularten
      • Berufliches Gymnasium Oberstufe
      • Berufsoberschule
      • Berufskolleg
      • Berufsfachschule
      • Berufsschule
      • Fachschulen
      • Berufsvorbereitende Schularten
      • Schulartübergreifend
      • Übergänge gestalten
    • Schularten
      • Grundschule
      • Realschule
      • Werkrealschule-Hauptschule
      • Gymnasium
      • Gemeinschaftsschule
      • Sonderpädagogische Bildung
    • Sport
      • Sport
  • Themen & Impulse
    • Extremismusprävention und Demokratiebildung
      • Extremismusprävention
      • Demokratiebildung
    • Ideenpool Lesen
      • Aktuelles
      • Elementarbereich
      • Grundschule
      • Sekundarstufe
      • Suchmaschine für Bücher
      • Lesen digital
      • Buchtipps und Links
      • Handreichungen
      • Kontakt
      • Kooperation Literaturhaus Stuttgart
    • Individuelle Förderung
      • Allgemein bildende Schulen
      • Berufliche Schulen
      • Interaktives Material
    • Integration - Bildung - Migration
      • VKL/VABO
      • Ziel: Bildungssprache
      • Interkulturelle Öffnung
      • Fakten, Kontakte und Angebote
    • Katastrophenschutz
    • Leitperspektiven und Leitfaden Demokratiebildung
      • Bildung für nachhaltige Entwicklung (BNE)
      • Bildung für Toleranz und Akzeptanz von Vielfalt (BTV)
      • Prävention und Gesundheitsförderung (PG)
      • Berufliche Orientierung (BO)
      • Medienbildung (MB)
      • Verbraucherbildung (VB)
      • OER Grafiken zur Demokratiebildung
    • Materialien für den Online-Unterricht
    • Medienbildung
      • Interaktive Übungen
      • Handreichungen
      • Lernmaterial
      • Internetadressen
    • OES
      • Konzept OES
      • OES - Unterstützungssystem
      • Datengestützte Schulentwicklung
      • Ziel- und Leistungsvereinbarung
      • innolabBS
    • Übergreifende Förderangebote
      • Autismus
      • Bildung und Erziehung von Kindern und Jugendlichen mit geistiger Behinderung und psychischer Erkrankung
      • Handreichungen
      • Inklusive Bildungsangebote
      • SBBZ – Schülerinnen und Schüler in längerer Krankenhausbehandlung
      • Kompetenzinventar
    • Schul- und Unterrichtsqualität
  • Service & Tools
    • Aktuelles
      • Bildungsnews
      • Neu auf dem Server
      • Stellenausschreibungen
      • Wettbewerbe
    • Listen der zugelassenen Schulbücher
    • Webtools: unsere kostenlosen Dienste für Bildung
      • BSCW
      • E-Mail- und Newsletterdienste
      • LimeSurvey™
      • Bildungsserver-Pad
      • IdAM
      • Formulare
    • Bildungspläne
      • Allgemein bildende Schulen
      • Berufliche Schulen
      • SBBZ
  • Über uns
    • Bildungsserver in Baden-Württemberg
    • Datenschutzerklärung
    • Impressum
    • Kontakt mit der Redaktion
    • Kontakt mit der Systembetreuung
    • Qualitätskriterien
    • Urheberrechtsinformationen
      • OER
      • Urheberrechtliche Hinweise
      • Alle Rechte vorbehalten
  • Fächer & Schularten
    • Mathematisch-naturwissenschaftliche Fächer
      • Mathematik
      • Biologie
      • Physik
      • Chemie
      • Informatik
      • Naturwissenschaft und Technik (NwT)
      • Biologie, Naturphänomene und Technik (BNT)
      • Materie-Natur-Technik (MNT)
    • Gesellschaftswissenschaftliche und philosophische Fächer
      • Ethik
      • Religionslehren
      • Geographie
      • Geschichte
      • Landeskunde, Landesgeschichte
      • Gemeinschaftskunde
      • Wirtschaft-Arbeit-Gesundheit (WAG)
      • Welt-Zeit-Gesellschaft (WZG)
      • Wirtschaft / Berufs- und Studienorientierung (WBS)
    • Sprachen und Literatur
      • Deutsch
      • Englisch
      • Französisch
      • Italienisch
      • Spanisch
      • Latein
      • Griechisch
      • Vertiefungskurs Sprache
    • Berufliche Fächer und Lernfelder
      • Bioinformatik
      • Biotechnologie
      • Ernährungslehre
      • Ernährungsportal (Hauswirtschaft)
      • Gartenbau
      • Holztechnik
      • Wirtschaft
    • Musische Fächer
      • Musik
      • Literatur und Theater
      • Kunst
    • Praktische Fächer
      • Technik
    • Berufliche Schularten
      • Berufliches Gymnasium Oberstufe
      • Berufsoberschule
      • Berufskolleg
      • Berufsfachschule
      • Berufsschule
      • Fachschulen
      • Berufsvorbereitende Schularten
      • Schulartübergreifend
      • Übergänge gestalten
    • Schularten
      • Grundschule
      • Realschule
      • Werkrealschule-Hauptschule
      • Gymnasium
      • Gemeinschaftsschule
      • Sonderpädagogische Bildung
    • Sport
      • Sport
  • Themen & Impulse
    • Extremismusprävention und Demokratiebildung
      • Extremismusprävention
      • Demokratiebildung
    • Ideenpool Lesen
      • Aktuelles
      • Elementarbereich
      • Grundschule
      • Sekundarstufe
      • Suchmaschine für Bücher
      • Lesen digital
      • Buchtipps und Links
      • Handreichungen
      • Kontakt
      • Kooperation Literaturhaus Stuttgart
    • Individuelle Förderung
      • Allgemein bildende Schulen
      • Berufliche Schulen
      • Interaktives Material
    • Integration - Bildung - Migration
      • VKL/VABO
      • Ziel: Bildungssprache
      • Interkulturelle Öffnung
      • Fakten, Kontakte und Angebote
    • Katastrophenschutz
    • Leitperspektiven und Leitfaden Demokratiebildung
      • Bildung für nachhaltige Entwicklung (BNE)
      • Bildung für Toleranz und Akzeptanz von Vielfalt (BTV)
      • Prävention und Gesundheitsförderung (PG)
      • Berufliche Orientierung (BO)
      • Medienbildung (MB)
      • Verbraucherbildung (VB)
      • OER Grafiken zur Demokratiebildung
    • Materialien für den Online-Unterricht
    • Medienbildung
      • Interaktive Übungen
      • Handreichungen
      • Lernmaterial
      • Internetadressen
    • OES
      • Konzept OES
      • OES - Unterstützungssystem
      • Datengestützte Schulentwicklung
      • Ziel- und Leistungsvereinbarung
      • innolabBS
    • Übergreifende Förderangebote
      • Autismus
      • Bildung und Erziehung von Kindern und Jugendlichen mit geistiger Behinderung und psychischer Erkrankung
      • Handreichungen
      • Inklusive Bildungsangebote
      • SBBZ – Schülerinnen und Schüler in längerer Krankenhausbehandlung
      • Kompetenzinventar
    • Schul- und Unterrichtsqualität
  • Service & Tools
    • Aktuelles
      • Bildungsnews
      • Neu auf dem Server
      • Stellenausschreibungen
      • Wettbewerbe
    • Listen der zugelassenen Schulbücher
    • Webtools: unsere kostenlosen Dienste für Bildung
      • BSCW
      • E-Mail- und Newsletterdienste
      • LimeSurvey™
      • Bildungsserver-Pad
      • IdAM
      • Formulare
    • Bildungspläne
      • Allgemein bildende Schulen
      • Berufliche Schulen
      • SBBZ
  • Über uns
    • Bildungsserver in Baden-Württemberg
    • Datenschutzerklärung
    • Impressum
    • Kontakt mit der Redaktion
    • Kontakt mit der Systembetreuung
    • Qualitätskriterien
    • Urheberrechtsinformationen
      • OER
      • Urheberrechtliche Hinweise
      • Alle Rechte vorbehalten
You are here:
  1. Home
  2. Fächer & Schularten
  3. Mathematisch-naturwissenschaftliche Fächer
  4. Mathematik
  5. Unterrichtsmaterialien
  6. Sekundarstufe I
  7. Leitidee "Messen"
  8. Pyramiden
  9. opy3formel.JPG
Neu
01.03.2026 Problem des Monats der vergangenen Schuljahre (seit 18 /19) als pdf und mit Lösungen
01.03.2026 Die Lösung zum Problem des Monats Februar 2026
01.03.2026 Problem des Monats März 2026

Mathematik

  • Interaktiv und Digital
  • Unterrichtsmaterialien
  • Neue Ideen
  • Bildungspläne, Prüfungen und Wettbewerbe
Navigation
  • Mathematisch-naturwissenschaftliche Fächer
    • Mathematik
      • Interaktiv und Digital
      • Unterrichtsmaterialien
        • Sekundarstufe I
          • Leitidee "Funktionaler Zusammenhang"
          • Leitidee "Zahl-Variable-Operation"
          • Geometrie
          • Leitidee "Messen"
            • Die Höhen im Dreieck
            • Flächeneinheiten
            • Flächenberechnung beliebiger Flächen
            • Flächeninhalt und Umfang von Rechtecken
            • Flächeninhalt und Umfang von Drei-/Vierecken
            • Kreisumfang/Kreisfläche/Kreiszahl
            • Messen von Längen
            • Maßstab
            • Textverarbeitung und Messen
            • Prismen
            • Umwandeln von Maßeinheiten
            • Volumen
            • Winkel
            • Zeit
            • Pyramiden
              • Pyramidenlinks
              • opy3formel.JPG
          • Leitidee "Daten und Zufall"
          • Leitidee "Raum und Form"
          • sonstiges
        • Sekundarstufe II
        • Übergänge gestalten
      • Neue Ideen
      • Bildungspläne, Prüfungen und Wettbewerbe
    • Biologie
    • Physik
    • Chemie
    • Informatik
    • Naturwissenschaft und Technik (NwT)
    • Biologie, Naturphänomene und Technik (BNT)
    • Materie-Natur-Technik (MNT)
  • Gesellschaftswissenschaftliche und philosophische Fächer
  • Sprachen und Literatur
  • Berufliche Fächer und Lernfelder
  • Musische Fächer
  • Praktische Fächer
  • Berufliche Schularten
  • Schularten
  • Sport

opy3formel.JPG

Bild opy3formel.JPG
opy3formel.JPG
Zeige Bild in voller Größe…
ELIXIER ist die Metadatenbank der Landesbildungsserver und des Deutschen Bildungsservers.
über Elixier...
Erweiterte Suche in der Datenbank...
Pyramiden
Inhalte

Einstiegsseite

Dreiecke in Pyramiden

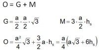
Oberflächenberechnungen an Pyramiden

Pyramidenlinks

Zur Leitidee Messen

Impressum   Kontakt   Datenschutzerklärung   Barrierefreiheit   Urheberrechtsinformationen