Die Bildungsserver in BW
Bildungspläne
Kultusministerium
Landesbildungsserver
Baden-Württemberg
Fächer & Schularten
Mathematisch-naturwissenschaftliche Fächer
Mathematik
Biologie
Physik
Chemie
Informatik
Naturwissenschaft und Technik (NwT)
Biologie, Naturphänomene und Technik (BNT)
Materie-Natur-Technik (MNT)
Gesellschaftswissenschaftliche und philosophische Fächer
Ethik
Religionslehren
Geographie
Geschichte
Landeskunde, Landesgeschichte
Gemeinschaftskunde
Wirtschaft-Arbeit-Gesundheit (WAG)
Welt-Zeit-Gesellschaft (WZG)
Wirtschaft / Berufs- und Studienorientierung (WBS)
Sprachen und Literatur
Deutsch
Englisch
Französisch
Italienisch
Spanisch
Latein
Griechisch
Vertiefungskurs Sprache
Berufliche Fächer und Lernfelder
Bioinformatik
Biotechnologie
Ernährungslehre
Ernährungsportal (Hauswirtschaft)
Gartenbau
Holztechnik
Wirtschaft
Musische Fächer
Musik
Literatur und Theater
Kunst
Praktische Fächer
Technik
Berufliche Schularten
Berufliches Gymnasium Oberstufe
Berufsoberschule
Berufskolleg
Berufsfachschule
Berufsschule
Fachschulen
Berufsvorbereitende Schularten
Schulartübergreifend
Übergänge gestalten
Schularten
Grundschule
Realschule
Werkrealschule-Hauptschule
Gymnasium
Gemeinschaftsschule
Sonderpädagogische Bildung
Sport
Sport
Themen & Impulse
Extremismusprävention und Demokratiebildung
Extremismusprävention
Demokratiebildung
Ideenpool Lesen
Aktuelles
Elementarbereich
Grundschule
Sekundarstufe
Suchmaschine für Bücher
Lesen digital
Buchtipps und Links
Handreichungen
Kontakt
Kooperation Literaturhaus Stuttgart
Individuelle Förderung
Allgemein bildende Schulen
Berufliche Schulen
Interaktives Material
Integration - Bildung - Migration
VKL/VABO
Ziel: Bildungssprache
Interkulturelle Öffnung
Fakten, Kontakte und Angebote
Katastrophenschutz
Leitperspektiven und Leitfaden Demokratiebildung
Bildung für nachhaltige Entwicklung (BNE)
Bildung für Toleranz und Akzeptanz von Vielfalt (BTV)
Prävention und Gesundheitsförderung (PG)
Berufliche Orientierung (BO)
Medienbildung (MB)
Verbraucherbildung (VB)
OER Grafiken zur Demokratiebildung
Materialien für den Online-Unterricht
Medienbildung
Interaktive Übungen
Handreichungen
Lernmaterial
Internetadressen
OES
Konzept OES
OES - Unterstützungssystem
Datengestützte Schulentwicklung
Ziel- und Leistungsvereinbarung
innolabBS
Übergreifende Förderangebote
Autismus
Bildung und Erziehung von Kindern und Jugendlichen mit geistiger Behinderung und psychischer Erkrankung
Handreichungen
Inklusive Bildungsangebote
SBBZ – Schülerinnen und Schüler in längerer Krankenhausbehandlung
Kompetenzinventar
Schul- und Unterrichtsqualität
Service & Tools
Aktuelles
Bildungsnews
Neu auf dem Server
Stellenausschreibungen
Wettbewerbe
Listen der zugelassenen Schulbücher
Webtools: unsere kostenlosen Dienste für Bildung
BSCW
E-Mail- und Newsletterdienste
LimeSurvey™
Bildungsserver-Pad
IdAM
Formulare
Bildungspläne
Allgemein bildende Schulen
Berufliche Schulen
SBBZ
Über uns
Bildungsserver in Baden-Württemberg
Datenschutzerklärung
Impressum
Kontakt mit der Redaktion
Kontakt mit der Systembetreuung
Qualitätskriterien
Urheberrechtsinformationen
OER
Urheberrechtliche Hinweise
Alle Rechte vorbehalten
Fächer & Schularten
Mathematisch-naturwissenschaftliche Fächer
Mathematik
Biologie
Physik
Chemie
Informatik
Naturwissenschaft und Technik (NwT)
Biologie, Naturphänomene und Technik (BNT)
Materie-Natur-Technik (MNT)
Gesellschaftswissenschaftliche und philosophische Fächer
Ethik
Religionslehren
Geographie
Geschichte
Landeskunde, Landesgeschichte
Gemeinschaftskunde
Wirtschaft-Arbeit-Gesundheit (WAG)
Welt-Zeit-Gesellschaft (WZG)
Wirtschaft / Berufs- und Studienorientierung (WBS)
Sprachen und Literatur
Deutsch
Englisch
Französisch
Italienisch
Spanisch
Latein
Griechisch
Vertiefungskurs Sprache
Berufliche Fächer und Lernfelder
Bioinformatik
Biotechnologie
Ernährungslehre
Ernährungsportal (Hauswirtschaft)
Gartenbau
Holztechnik
Wirtschaft
Musische Fächer
Musik
Literatur und Theater
Kunst
Praktische Fächer
Technik
Berufliche Schularten
Berufliches Gymnasium Oberstufe
Berufsoberschule
Berufskolleg
Berufsfachschule
Berufsschule
Fachschulen
Berufsvorbereitende Schularten
Schulartübergreifend
Übergänge gestalten
Schularten
Grundschule
Realschule
Werkrealschule-Hauptschule
Gymnasium
Gemeinschaftsschule
Sonderpädagogische Bildung
Sport
Sport
Themen & Impulse
Extremismusprävention und Demokratiebildung
Extremismusprävention
Demokratiebildung
Ideenpool Lesen
Aktuelles
Elementarbereich
Grundschule
Sekundarstufe
Suchmaschine für Bücher
Lesen digital
Buchtipps und Links
Handreichungen
Kontakt
Kooperation Literaturhaus Stuttgart
Individuelle Förderung
Allgemein bildende Schulen
Berufliche Schulen
Interaktives Material
Integration - Bildung - Migration
VKL/VABO
Ziel: Bildungssprache
Interkulturelle Öffnung
Fakten, Kontakte und Angebote
Katastrophenschutz
Leitperspektiven und Leitfaden Demokratiebildung
Bildung für nachhaltige Entwicklung (BNE)
Bildung für Toleranz und Akzeptanz von Vielfalt (BTV)
Prävention und Gesundheitsförderung (PG)
Berufliche Orientierung (BO)
Medienbildung (MB)
Verbraucherbildung (VB)
OER Grafiken zur Demokratiebildung
Materialien für den Online-Unterricht
Medienbildung
Interaktive Übungen
Handreichungen
Lernmaterial
Internetadressen
OES
Konzept OES
OES - Unterstützungssystem
Datengestützte Schulentwicklung
Ziel- und Leistungsvereinbarung
innolabBS
Übergreifende Förderangebote
Autismus
Bildung und Erziehung von Kindern und Jugendlichen mit geistiger Behinderung und psychischer Erkrankung
Handreichungen
Inklusive Bildungsangebote
SBBZ – Schülerinnen und Schüler in längerer Krankenhausbehandlung
Kompetenzinventar
Schul- und Unterrichtsqualität
Service & Tools
Aktuelles
Bildungsnews
Neu auf dem Server
Stellenausschreibungen
Wettbewerbe
Listen der zugelassenen Schulbücher
Webtools: unsere kostenlosen Dienste für Bildung
BSCW
E-Mail- und Newsletterdienste
LimeSurvey™
Bildungsserver-Pad
IdAM
Formulare
Bildungspläne
Allgemein bildende Schulen
Berufliche Schulen
SBBZ
Über uns
Bildungsserver in Baden-Württemberg
Datenschutzerklärung
Impressum
Kontakt mit der Redaktion
Kontakt mit der Systembetreuung
Qualitätskriterien
Urheberrechtsinformationen
OER
Urheberrechtliche Hinweise
Alle Rechte vorbehalten
Fach wählen
Berufliches Gymnasium Oberstufe
Berufsfachschule
Berufskolleg
Berufsoberschule
Berufsschule
Berufsvorbereitende Schularten
Bioinformatik
Biologie
Biologie, Naturphänomene und Technik (BNT)
Biotechnologie
Chemie
Deutsch
Englisch
Ernährungslehre
Ernährungsportal
Ernährungsportal (Hauswirtschaft)
Ethik
Fachschulen
Französisch
Gartenbau
Gemeinschaftskunde
Gemeinschaftsschule
Geographie
Geschichte
Griechisch
Grundschule
Gymnasium
Holztechnik
Informatik
Italienisch
Kunst
Landeskunde, Landesgeschichte
Latein
Literatur und Theater
Materie-Natur-Technik (MNT)
Mathematik
Musik
Naturwissenschaft und Technik (NwT)
Physik
Realschule
Religionslehren
Schulartübergreifend
Sonderpädagogische Bildung
Spanisch
Sport
Technik
Übergänge gestalten
Vertiefungskurs Sprache
Welt-Zeit-Gesellschaft (WZG)
Werkrealschule-Hauptschule
Wirtschaft
Wirtschaft / Berufs- und Studienorientierung (WBS)
Wirtschaft-Arbeit-Gesundheit (WAG)
Schulstufe wählen
Primarstufe
Sekundarstufe I
Sekundarstufe II
Nur hier
suchen
You are here:
Home
Fächer & Schularten
Mathematisch-naturwissenschaftliche Fächer
Mathematik
Unterrichtsmaterialien
Sekundarstufe I
Leitidee "Zahl-Variable-Operation"
Gleichungen und Gleichungssysteme
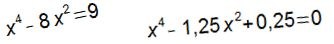
Quadratische Gleichungen
biquadr_bsp.jpg
Neu
01.02.2026
Problem des Monats der vergangenen Schuljahre (seit 18 /19) als pdf und mit Lösungen
01.02.2026
Die Lösung zum Problem des Monats Januar 2026
01.02.2026
Problem des Monats Februar 2026
Mathematik
Interaktiv und Digital
Unterrichtsmaterialien
Neue Ideen
Bildungspläne, Prüfungen und Wettbewerbe
biquadr_bsp.jpg
Bild biquadr_bsp.jpg
Zeige Bild in voller Größe…